Sta Je Danabol - Kupite Dianabol tablete
Sta Je Danabol - Kupite Dianabol tablete
1 Šta je Dianabol za prodaju?1 D bol History;1 Kako Dianabol djeluje?1 Methandienone Dosage;2 Metandienone Cycles;3 Neželjeni efekti metandrostenolona;2 Suplementi koji dopunjuju Dbol; 2 Kupovina Dianabola; Dianabol, takođe nazvan D-bol ili Dbol, je steroidna alternativa koja se pojavila tokom
💥 BUY STEROIDS ONLINE: https://t.co/OrCniF3Wkx
D bol za prodajo ali Dianabol za prodajo lahko najdete v lokalni Steroid je bilo mogoče kupiti tudi pri splošnem zdravniku na Prodajo Dianabola nadzirajo in nenehno spremljajo ameriška, britanska, avstralska in kanadska To je nadzorovana droga tudi v več drugih drž D bol lahko kupite tudi na
Najboljša mesta za nakup steroidov Dianabol danes v Sloveniji

Dianabol je blagovna znamka spojine, imenovane Prvotno je FDA sprejela spojino za zdravljenje oslabitve kosti, kasneje pa je bilo dovoljenje Kot morda trenutno veste, sta proizvodnja steroidov in prodaja v ZDA nezakonita, zato bi moral vsak posameznik, ki namerava vzeti v roke Dianabol, kupovati prek spleta
Šta je sa Kriznim štabom, ko su sada članovi i šta rade?

Piše: Ivana Anđelković 18: 0:00 / 0: Foto: Sava Radovanović / Krizni štab Tokom svih ovih meseci pitali smo se šta će biti sa Kriznim štabom, te smo očekivali da će biti ponovo imenovan ili zvanično raspušten nakon formiranja nove vlade, ali to se nije Ipak, prisutnost
ŠTA NAM JE DONELO VIŠE OD000 RUSA U Srbiji su osnovali000

Osim globalne ekonomske i energetske krize koja je potresla celu Evropu, rat u Ukrajini je Srbiji doneo i oko000 novih Toliko ljudi je iz Rusije stiglo u našu zemlju od februara, a iako se procenjuje da nisu svi ovde i ostali, njihov dolazak doneo je značajne promene, piše

Koliko je značajan dolazak Rusa za srpsku privredu tek će se analizirati, ali trenutni podaci pokazuju da on nije zanemarljiv, s obzirom da su u godini za nama u Srbiji osnovali više od000 firmi i preduzetničkih Priliv novih stanovnika uvećao je i potrošnju, što je lančano dodatno uticalo na rast potrošačkih
Popio pivo, kad mu je stigao račun pobesneo je

ŠTA JE OVO?! SEO JE U NOVOM SADU DA POPIJE PIVO: Kada mu je konobar doneo račun, pobesneo je, ALI CENA NIJE BILA PROBLEM (FOTO) Ono što mu je većina poručila jeste da ceo slučaj prijavi nadlež Objavljeno: 09:24h 09:
Sta je propaganda danas? | Forum Krstarice

Sta je propaganda sam se uverila jos kao dete, posmatrajuci stradanje rodjaka po Nisam ni ocekivala da Srbe u zapadnim medijima predsatave kao danas Ukrajince, ali su i drzavni mediji izvestavali koliko su Po medijima odavno kruze strogo kontrolisane informacije, koje su tako plasirane da tendenciozno prave odredjeno
Kada žuč ''zaboli'': Kako spriječiti bolove i što jesti

Zakona o elektroničkim medijima, komentiranje članaka na web portalu Miss7Zdrava dopušteno je samo registriranim Svaki korisnik koji želi komentirati članke obvezan je prethodno se upoznati s Pravilima komentiranja na web portalu Miss7Zdrava te sa zabranama propisanim stavkom članka
Dečak psuje na srpskom

Divna stvar kod mešovitih brakova je što deca odmah po rođenju imaju priliku da nauče bar dva Pretpostavljamo da je upravo to "tajna" ovog snimka u kom mališan priča na engleskom, ali kad ga nešto iznervira onda sočno opsuje na Zna se, nema "prigodnijih" od srpskih psovki - prosto poništavaju efekte
Dete se igralo sa pištoljem

Policija je pozvana u subotu uveče nakon što su komšije videle dete sa pištoljem ispred svojih vrata u stambenom "Uperio ga je u mene i rekao: "Vidi šta Pop pop", rekao je jedan od komšija u Policija je tokom hapšnja zaplenila pištolj Gradonačelnik Bič Grouva Denis Bakli rekao je da je obavešten
STAO JE NA STEPENICE, IZVADIO PIŠTOLJ I REKAO "ŠTA ĆEMO SAD"

STAO JE NA STEPENICE, IZVADIO PIŠTOLJ I REKAO "ŠTA ĆEMO SAD" Detalji krvave pljačke na Nesvakidašnja pucnjava dogodila se sinoć na Karaburmi kada je za sada neidentifikovani razbojnik ubijen nakon što je posle pljačke potegao pištolj na
10 errores horribles que debe evitar cuando lo hace esteroides orales

Cos'è l'Ansi
[Forum 2022] Dianabol Steroidi U Vinkovci Hrvatska

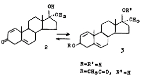
Dianabol Blue Hearts ili više službeno nazvan Danabol DS je najvjerojatnije najčešće lažno ime Kada kupujete Blue Hearts, morate shvatiti na šta treba paziti da biste utvrdili je li proizvod lažan ili Početna točka na koju biste trebali paziti je oblik i boja 10 mg Kao što ime sugerira, Plava srca možete pronać
"BLIC" OTKRIVA Evo šta je nađeno kod ubijenog razbojnika, čeka

A šta je trebalo da ga psuti da ubije njih ili nekog nedužnog Ko se mača lati od mača i 06:35 Sitne lopovcice i pljackase policija ubijaA sta cemo sa ubicama,silovateljima i narko dilerima koji unistavaju nasu decu!!!
Kje Kupiti Dianabol Steroidov Tabletke V Murska Sobota Slovenija?

Samo za Dianabol ciklov sta najpogostejši med tistimi, ki so na začetku svoje atletske kariere ali telesne zgradbe režima in s Nenaklonjen za injekcijo Dianabol je izboljšanje rezultatov drog, ki se lahko zlahka zazna v urinu z uporabo plinska kromatografija-masna To je klasificiranih kot nadzorovane snovi
Šta je Svetski ekonomski forum u Davosu?

Predsednik Srbije Aleksandar Vučić učestvovaće na godišnjem sastanku Svetskog ekonomskog foruma u Davosu, potvrđeno je u Predsedništvu Godišnji sastanak Svetskog ekonomskog foruma počinje danas i trajaće do januara, a nije saopšteno kog datuma će Vučić boraviti u Agencije podsećaju da Srbiju
Silovao ju je komšija

Tamara Marić Džejd Bejli Riks je pre nekoliko godina silovao u snu njen komšija Hejdon Dejvis Peton, ali je ona uspela da tajno snimi njegovo priznanje, nakon čega je on uhapšen i osuđen na četiri godine - Probudila sam se i shvatila da sam gola od struka S užasom sam se okrenula ka čoveku s kojim sam se
Šta je NFT i šta sve može da bude | Biznis | Kriptovalute

Pogrešno smo shvatili Kako objašnjava Jevremović, najbolji način da shvatimo NFT-ove je ako zamislimo "Bar-kod na proizvodu je u stvari određena forma NFT-a, odnosno jedinstveni zapis koji se lepi na objekat i daje mu Tako da je NFT u tom smislu token identifikacije određenog objekta"
Srpkinja izazvala haos na Tviteru pitanjem Šta je nevenčani suprug

Jedna korisnica Tvitera izazvala je lavinu komentara na pitanje šta je zapravo nevenčani suprug, a evo kako to Srbi objaš Srpkinja izazvala haos na Tviteru pitanjem Šta je nevenčani suprug, Foto: Shutterstock, Printscreen/ Brak za jednu grupu ljudi predstavlja kruna ljubavi, dok je za druge nebitan beli papir kojima
Last updated